由中科院亚热带农业生态研究所副所长(主持工作)吴金水研究员领衔的农业生态过程方向研究团队近日在土壤自养微生物固碳潜力及其功能种群研究方面取得了一系列重要进展。
自养微生物在农田土壤中广泛存在,能通过多种生物固碳途径同化大气CO2,然而,目前土壤自养微生物的CO2同化功能尚未纳入到农田土壤循环过程中。研究人员利用14C连续标记技术,结合密闭系统培养土壤开展工作,无论是80d还是110d的培养期,在光照处理下,农田土壤微生物均具有可观的CO2同化能力,据估算,他们的CO2日同化速率在0.01-0.1g Cm?2之间。如果推算到全球陆地生态系统,理想状态下,全球陆地生态系统土壤微生物的年碳同化量在0.3-3.7Pg。然而,遮光处理的土壤,其微生物的碳同化功能被完全抑制了。该项工作发表在国际著名地学期刊Geochimica et Cosmochimica Acta(2013, 113: 70-78)。
同时,研究人员运用克隆文库、T-RFLP及定量PCR等分子生物学方法,从土壤微生物数量及其碳同化功能种群结构和多样性两方面来揭示土壤微生物的碳同化机理。结果表明,农田土壤固碳细菌、蓝细菌和藻类cbbL基因拷贝数分别:0.04―1.3×108,0.2―1.9×106,和0.02―1.8×106 copies g–1 soil。固碳细菌基因数量显著大于藻类。遮光后,固碳微生物丰度显著下降。农田土壤固碳功能种群包括固碳细菌和藻类,其中固碳细菌的主要优势种群为兼性自养菌,而藻类以黄藻和硅藻居主导地位。该项成果发表美国微生物学会主办的杂志Applied and Environmental Microbiology(2012, 78: 2328-2336)。
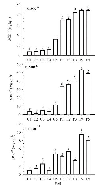
另外,研究人员还发现在田间条件下,稻田土壤中也存在相当数量的细菌cbbL基因拷贝数及较高的RubisCO酶活性。根据酶活性估算,年碳同化量在100-450kg/ha之间,这与室内14C-CO2连续标记培养实验得出的碳同化量相当,这为研究人员估算田间条件下,土壤自养微生物的CO2同化速率提供了可能性(Applied Microbiology and Biotechnology.2012,95:1061-1071),同时建立了土壤碳同化关键酶RubisCO酶活性测定方法,并申请了国家发明专利(专利号:ZL 2011 1 0036309.2);还探讨了自养微生物同化碳在土壤碳库中的矿化与分解动态,以及自养微生物同化碳的输入对土壤微生物生物量碳周转的贡献等(Soil Biology and Biochemistry, 2012, 48: 39-49)。
这些研究结果改变了土壤微生物在陆地生态系统碳循环中仅担负有机质分解、矿化功能的长期认识,丰富了土壤微生物的基本功能和陆地生态系统碳循环过程,同时也为寻找迷失的碳汇提供了一条线索。
这一系列工作得到国家自然科学基金、中国科学院战略性先导科技专项、中国科学院、国家外国专家局创新团队国际合作伙伴计划等的支持。

自养微生物同化碳的输入及其在活性碳库(MBC、DOC)中的分配及含量特征

发明专利:土壤微生物固碳酶提取的方法,2012,专利号:ZL 2011 1 0036309.2
