泥沙淤积是湖泊湿地一种常见的现象,强度一般在几毫米到几十厘米之间。泥沙淤积造成植物根区缺氧,并对植物的分生组织等造成机械压力,对植物生长造成不利影响。但是,泥沙淤积同时带来丰富的营养,对植物的生长具有促进作用。因此,淤积淤积至少可以分解成两个方面,即沙埋(sand accretion)和营养增加(nutrient enrichment),但两者对湿地植物克隆生长的交互影响缺乏研究。
基于此,洞庭湖湿地生态研究团队以优势湿地植物虉草和短尖薹草为研究对象,通过野外控制实验,发现营养增加促进了虉草的生物量积累、地上生物量比例、根茎数量、分蘖和根茎的长度等,但沙埋对虉草克隆生长的影响较小。这些结果表明虉草可以忍耐沙埋,同时,泥沙淤积带来的营养促进了虉草克隆生长。
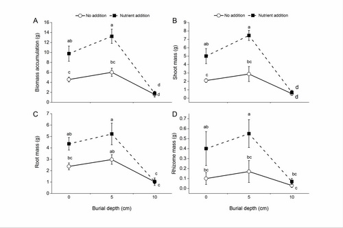
短尖薹草可以通过克隆生长型的改变以适应中度沙埋(5cm),但深度沙埋(10cm)降低了短尖薹草生长。在轻度至中度沙埋条件下,营养增加促进了短尖薹草的生长,但在深度沙埋条件下没有影响。营养增加对短尖薹草的克隆生长型没有影响,也不能帮助其适应深度沙埋。
由于人类活动干扰,湖泊湿地泥沙淤积严重,并且沉积物营养盐呈增加趋势,可能会引起耐淤积的虉草入侵苔草群落,引起湿地植被分布格局的改变。该研究结果对理解湿地植被演变以及湿地管理提供了一定理论依据,相关论文发表在Scientific Reports和Frontiers in Plant Science。
该研究得到了国家自然科学基金和中科院领域前沿项目的支持。

图1.不同沙埋和营养水平下虉草的生物量积累和分配

图2.不同沙埋和营养水平下短尖薹草的生物量积累和分配
附件下载:
